Hírek
2026. márc. 20.
S. Attila
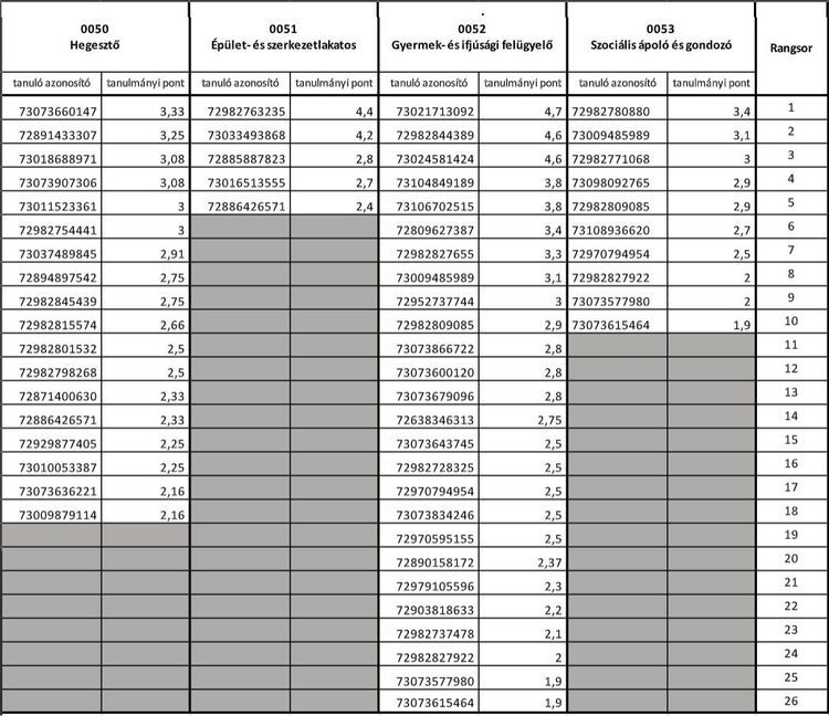
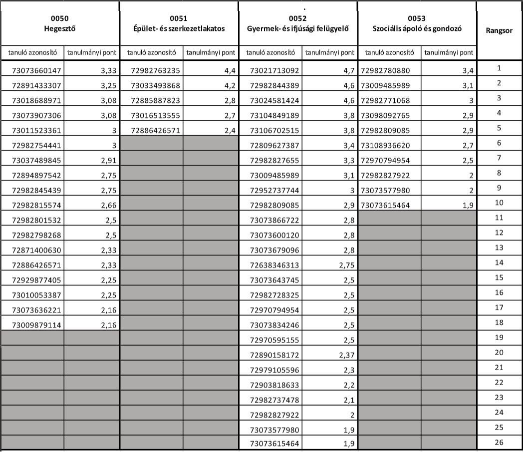
Ideiglenes felvételi jegyzék 2026/2027. tanév
Ideiglenes felvételi jegyzék 2026/2027. tanév


KAPCSOLÓDÓ HÍREK

Ünnepélyes tanévnyitó - 2025
Ma ünnepélyes tanévnyitóval kezdődött a nap iskolánkban.
2025. szept. 1.
S.Attila

Ingyenes esti képzések az Eötvösben!
Iskolánk ebben a tanévben is számos felnőttképzést indít esti munkarendben (ez 2 jelenléti + 2 e-learning délutánt jelent hetente). A képzések időtartama általában 3 félév, azaz 12 hónap az iskolai szüneteket nem számítva. A demencia gondozó képzés azonban fél év alatt elvégezhető. Kérjük, hogy az online jelentkezéssel egyidőben a bemeneti végzettséget igazoló bizonyítvány fotóját szíveskedjenek a titkarsag@eotvos.szakkepzestatabanya.hu e-mail címre megküldeni.
2025. aug. 25.
S.Attila



