Ünnepélyes tanévnyitó - 2025
Ma ünnepélyes tanévnyitóval kezdődött a nap iskolánkban.
S.Attila
Tatabányai Szakképzési Centrum
NÉPSZERŰ

H A T Á R O Z A T A Magyar Közlöny 209. számában megjelent többek között a Kormány 633/2021. (XL 18.) Korm. rendelete a veszélyhelyzef idején alkalmazandó védeni intézkedések második ütem éről szóló 484/2020. (XI. 10.) Korm. rendelet módosításáról. 1. § A veszélynelyzeí idején alka lmazandó védeni intézkedések második üteméről szóló 484/2020. (XL 10.) Korm. rendelet (a továbbiakban: R.) a következő 1/A. §-sal egészül ki: ,,1/A. § A bölcsőde! ellátás nyıfitó intézmény, szolgáltató. a köznevelésí intézmény, illetve a szakképző intézmény vezetôje határozza meg a vezetés alatt álló intézmény területén a maszkviselés szabályait. 2021. november 22-töl az intézményben tanulók és dolgozók számára kötelező a szájat és orrot eltakaró maszk viselése az intézménybe érkezéskor, távozáskor valamint az intézmény közösségi területein. A tanítási órákon a szaktantermekben, mühelyekben nem kötelező, de nem is tilos a maszk viselése. A tanulók a maszkviselés kötelezettségével kapcsolatos tájékoztatása az osztályfőnökök feladata. Az intézménybe érkező vendégek számára is kötelező a védömaszk használata. Jelen határozat a járványügyi helyzetre való tekintettel visszavonásig érvényes. Kelt: Oroszlány, 2021. november 19.
2021. nov. 22.
Bartalus Ilona - igazgató
KERESŐ
Ma ünnepélyes tanévnyitóval kezdődött a nap iskolánkban.
NÉPSZERŰ

H A T Á R O Z A T A Magyar Közlöny 209. számában megjelent többek között a Kormány 633/2021. (XL 18.) Korm. rendelete a veszélyhelyzef idején alkalmazandó védeni intézkedések második ütem éről szóló 484/2020. (XI. 10.) Korm. rendelet módosításáról. 1. § A veszélynelyzeí idején alka lmazandó védeni intézkedések második üteméről szóló 484/2020. (XL 10.) Korm. rendelet (a továbbiakban: R.) a következő 1/A. §-sal egészül ki: ,,1/A. § A bölcsőde! ellátás nyıfitó intézmény, szolgáltató. a köznevelésí intézmény, illetve a szakképző intézmény vezetôje határozza meg a vezetés alatt álló intézmény területén a maszkviselés szabályait. 2021. november 22-töl az intézményben tanulók és dolgozók számára kötelező a szájat és orrot eltakaró maszk viselése az intézménybe érkezéskor, távozáskor valamint az intézmény közösségi területein. A tanítási órákon a szaktantermekben, mühelyekben nem kötelező, de nem is tilos a maszk viselése. A tanulók a maszkviselés kötelezettségével kapcsolatos tájékoztatása az osztályfőnökök feladata. Az intézménybe érkező vendégek számára is kötelező a védömaszk használata. Jelen határozat a járványügyi helyzetre való tekintettel visszavonásig érvényes. Kelt: Oroszlány, 2021. november 19.
2021. nov. 22.
Bartalus Ilona - igazgató
Iskolánk ebben a tanévben is számos felnőttképzést indít esti munkarendben (ez 2 jelenléti + 2 e-learning délutánt jelent hetente). A képzések időtartama általában 3 félév, azaz 12 hónap az iskolai szüneteket nem számítva. A demencia gondozó képzés azonban fél év alatt elvégezhető. Kérjük, hogy az online jelentkezéssel egyidőben a bemeneti végzettséget igazoló bizonyítvány fotóját szíveskedjenek a titkarsag@eotvos.szakkepzestatabanya.hu e-mail címre megküldeni.
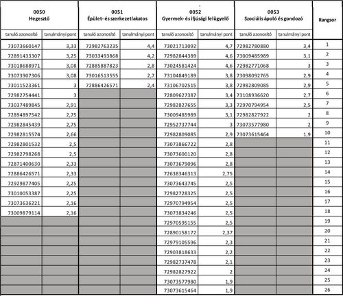
Felvételt nyert tanulók listája oktatási azonosító alapján
2024/2025-ös tanév Beiratkozás nappali jogviszonyú képzéseinkre: Dobbantó program, Műhelyiskola, Hegesztő, Gyermek-és ifjúsági felügyelő ídőpontja:2024.06.26. 08:00-16:00-ig
A Tatabányai Szakképzési Centruma szakképzésről szóló 2019. évi LXXX. törvény 46. § (3) – (4) bekezdése alapjánpályázatot hirdet a Tatabányai SZC Eötvös Loránd Szakképző Iskolaigazgató (intézményvezető) beosztásának ellátására.
Jelentkezők felvételi jegyzéke-2024 0052 - Gyermek- és ifjúsági felügyelő 0051 - Hegesztő
Tatabányai Szakképzési Centrum